Soil structure and moisture
The density and porosity of soil affects its drainage properties, and how easily plant roots can penetrate the ground and take up water and nutrients. Soil compaction has also been linked to changes in fungal and invertebrate diversity.


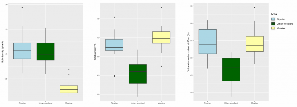
Samples of soils in 5 cm cylindrical rings or “soil cores” have been collected across the OpenLiving Lab landscape to measure factors including bulk density, volumetric water content and field capacity. Soil cores are put on a sand table which draws the moisture gradually out of the samples to measure the drainage properties.
Cores have been dug from the upper layer of the soil (0-10cm depth):
- 20 from the Riparian woodland in 2023
- 20 from the Urban woodland in 2024
- 20 from the floodplain meadow in 2025.
The cores were soaked in water and weighed to measure their “saturated” weight. The samples were then put on the sand table which draws the water down out of the soil under suction, using the Hanging Water Principle. The pressure is determined by the height of the suction regulator (the flask pictured). Lowering the flask to a pressure head up to 100 cm increases the suction. Weighing the soil at 10 cm intervals gives us a soil moisture release curve. From this we can read off:
– porosity (% weight of water in the saturated sample/volume of soil) and the
– volumetric water content at field capacity (% weight of water at 50 cm/volume of soil).
The samples are then dried fully at 105°C to measure the bulk density (dry weight/volume of soil).

We can compare the bulk density, porosity and volumetric water content of the soils from the three different OpenLiving Lab areas. The samples from 2023-2025 represent a baseline for monitoring changes in soil compaction and water-storage capacity as the site restoration continues.

Soil moisture
We are also using soil moisture probes to monitor high resolution changes in soil moisture as rainfall and river levels change. We can see how this relates to the rainfall data in our meteo stations and fluctuations in the level of the River Ouzel.
References / Further reading
Soil sampling and methods of analysis (second edition). 2006. Edited by M.R. Carter & E.G. Gregorich. CRC Press, Boca Raton, Florida, USA.